Profiles overview
The SPDX AI Working Group develops and maintains two SPDX 3 profiles: AI and Dataset.
The stable SPDX 3.0 AI and Dataset profiles can be found at: https://spdx.github.io/spdx-spec/v3.0.1/.
The work-in-progress SPDX 3.1-RC1 AI and Dataset profiles can be found at: https://spdx.github.io/spdx-spec/v3.1-RC1/.
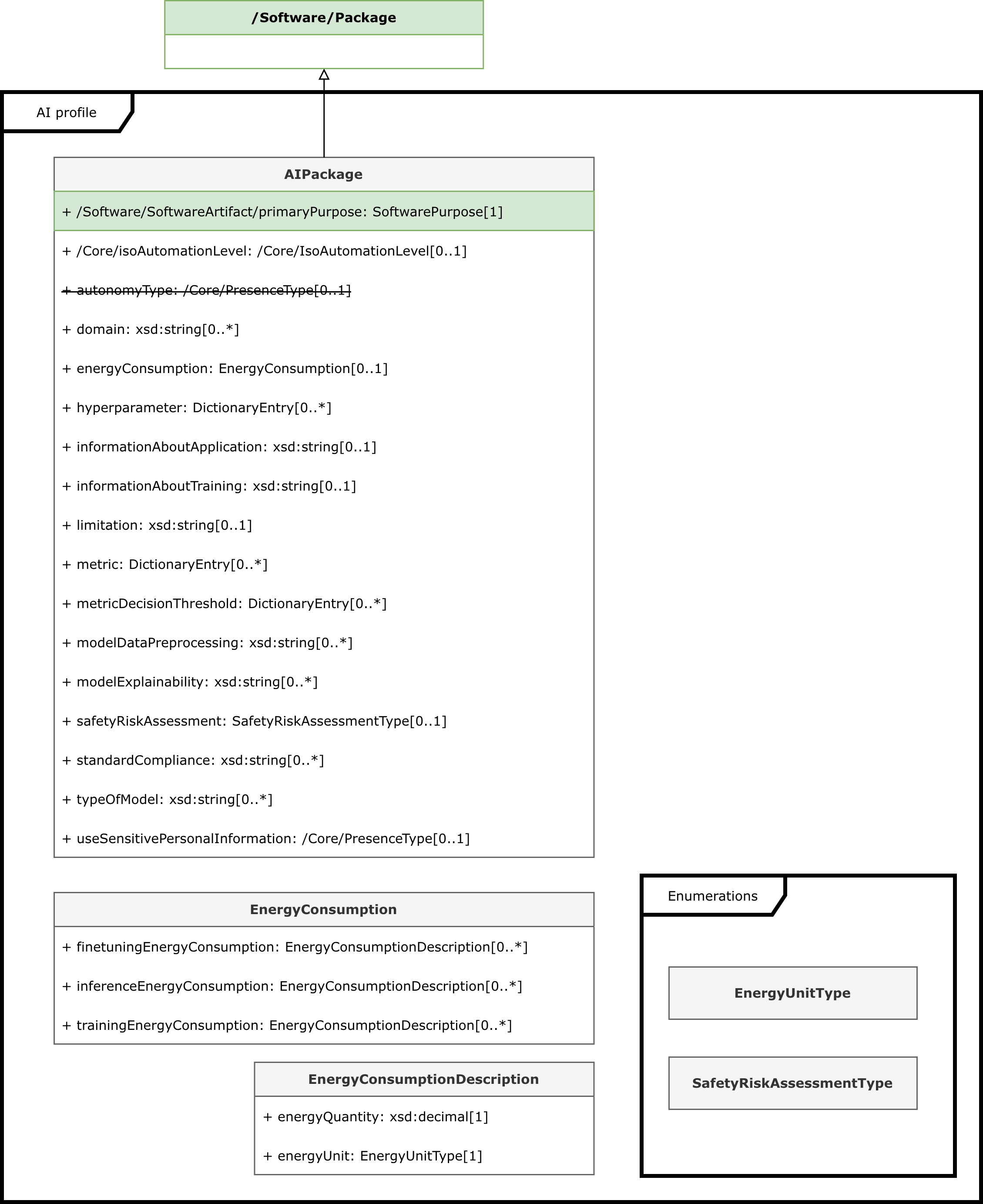
AI profile
A diagram of AI profile from SPDX 3.1-RC1:
Dataset profile
A diagram of Dataset profile from SDPX 3.1-RC1:
SBOM examples
An overview of an AI package, from the AI BOM in AI Example 02 (click on the diagram to enlarge):
(Diagram generated by spdx3ToGraph and PlantUML. See diagram generation notes here.)
Details of some information categories that the AI BOM captures:
(The zoom-in is taken from this slides deck)
See more examples in the Examples section.



